El ácido fítico o los fitatos de un alimento se reducen al ponerlo en remojo, germinarlo o fermentarlo. Las fitasas permiten la descomposición en la digestión.

Antes de prepararlas, solemos poner las legumbres en remojo. ¿Por qué? ¿Y qué pasa con los frutos secos y los cereales integrales? ¿Qué se consigue exactamente con el remojo? ¿Hay alternativas como, por ejemplo, el germinado?
Poner en remojo frutos secos y semillas solo tiene sentido si se comen a menudo y en grandes cantidades. Por el contrario, las legumbres siempre deberían ponerse a remojo por dos motivos: para reducir el ácido fítico que contienen y para que desprendan los polisacáridos responsables de los gases.
El ácido fítico es un compuesto vegetal secundario que se encuentra principalmente en las capas externas de cereales, frutos secos, semillas y legumbres. Se encarga de proteger la energía almacenada que la planta necesita para desarrollarse. Además, el ácido fítico desempeña el papel de proteger al vegetal en cuestión de posibles depredadores, como insectos u animales herbívoros.
El ácido fítico es capaz de formar complejos y de unirse en el estómago y en los intestinos a los minerales que ingerimos a través de al alimentación, sobre todo al hierro, al zinc, al calcio y al magnesio. Entonces, estos se vuelven indisolubles y dejan de estar disponibles para el organismo.
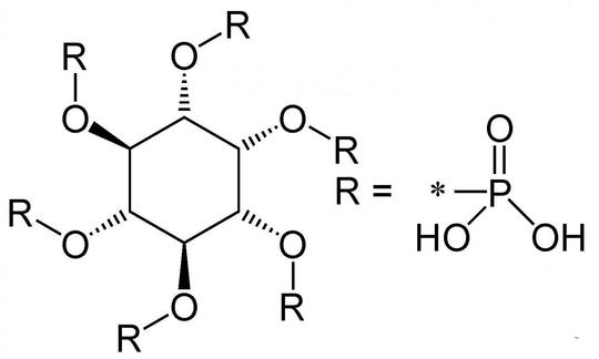
El ácido fítico es un anillo de inositol que tiene seis grupos fosfatos (IP6). Se trata de una sustancia totalmente natural que las plantas emplean para almacenar el fósforo.
Si la semilla tiene suficiente calor y agua disponibles, empieza a brotar. Cuando la semilla comienza a germinar, el grano sintetiza la enzima fitasa. Las fitasas a su vez descomponen el ácido fítico y lo convierten en azúcares y fosfatos, ya que lo inactivan y liberan el fosfato almacenado. Este se convierte en el nutriente más importante para el crecimiento y desarrollo de la joven planta. El ácido fítico, que contiene fosfato, realiza una función similar al ATP (adenosín trifosfato) y también almacena la energía del organismo.
El ácido fítico es útil para los brotes, pero no tanto para nosotros:
Sin embargo, el ácido fítico también tiene efectos positivos para nuestro organismo:
En el organismo también podemos encontrar fitina y derivados de su degradación. El cuerpo la sintetiza por sí mismo y la utiliza sobre todo como neurotransmisor, hormona y factor de crecimiento, al igual que la acetilcolina o la vasopresina.
| Un artículo que no solo veganos y vegetarianos deberían leer: La dieta vegana puede no ser saludable. Errores de nutrición. |
El ácido fítico se encuentra en las capas exteriores de cereales y frutos secos. En las legumbres, siempre lo podemos localizar en el interior del endospermo.
Las semillas y los pseudocereales también contienen ácido fítico.
El maíz, la soja y el salvado de trigo, cebada o centeno son especialmente ricos en ácido fítico o fitatos. Los cacahuetes también contienen ácido fítico. En relación al porcentaje de ácido fítico que contienen, las legumbres se encuentran entre los cereales y la quinua.
Por su parte, la harina de trigo y el arroz pulido apenas contienen. El arroz blanco cuenta con unos 240 mg. Sin embargo, a los productos elaborados con harina blanca y el arroz pulido no solo les falta buena parte del ácido fítico original, sino también sustancias vegetales secundarias muy valiosas, fibra y un gran porcentaje de los minerales, que igualmente se encuentran en las capas exteriores.
Hay que tener en cuenta también que la cantidad de ácido fítico en un solo alimento también depende de la variedad de planta, de las condiciones climáticas en las que esta se ha desarrollado, de la calidad del suelo y, sobre todo, del uso de fertilizantes que contengan fosfato. Hay que ser muy cuidadoso con las cifras que se aportan, pues también varían en función del método utilizado.
Asimismo, hay que distinguir si se trata de ácido fítico real, con sus seis grupos fosfato, o de un derivado con menos grupos fosfato.
| Ácido fítico: Cantidad en algunos alimentos (g/100g), Wikipedia |
| Alimento | Mínimo | Máximo |
| 4,3 | 4,3 | |
| 0,08 (?) | 3,61 | |
| 1,35 | 3,22 | |
| 2,15 | 2,87 | |
| 2,38 | 2,38 | |
| 0,75 | 2,22 | |
| 1,00 | 2,22 | |
| 0,95 | 2,32 | |
| 0,96 | 1,16 | |
| 0,42 | 1,16 | |
| 0,84 | 0,99 | |
| 0,98 | 0,98 | |
| 0,65 | 0,65 | |
| 0,56 | 0,94 | |
| 0,14 | 0,6 | |
| 0,44 | 0,5 | |
| 0,54 | 0,5 |
La enzima fitasa se activa al poner el alimento en remojo, al germinarlo, al elaborar masa madre, por fermentación láctica o durante el proceso digestivo. Además, un masticado largo también puede descomponer parte del ácido fítico.
Asimismo, en el caso de los cereales, retirar la capa de aleurona durante el pelado y el molido reduce de forma significativa el porcentaje de ácido fítico (¡Pero también el de minerales!).
El remojo y el germinado, en combinación con el calor, el agua y la luz, activan procesos metabólicos en los granos, que a su vez provocan la descomposición o transformación enzimática de diferentes componentes. Tras el germinado, los nutrientes están disponibles para el organismo. La propia fitasa del grano una vez activada es la encargada de descomopner el ácido fítico. El agua del remojo no debería emplearse después, ya que el ácido fítico disuelto puede estar todavía presente.
Tras la descomposición del ácido fítico surgen derivados del ácido fítico que se han unido a un número diferente de grupos fosfato. El ácido fítico en sí cuenta con seis grupos fosfato. El inositol no pierde todos los grupos fosfato de una vez, sino de uno en uno, gradualmente.
El objetivo es alcanzar la mayor actividad de fitasas posible. Así pues, la industria a menudo agrega fitasas de bacterias u hongos aislados para acelerar la descomposición.
En casa, la distinta actividad de las fitasas de las plantas se puede aprovechar combinándolas con alimentos que tienen menos actividad, de forma que también combinemos la actividad de sus fitasas.
Las fitasas del centeno, del trigo y del trigo sarraceno (alforfón) tienen una actividad relativamente alta. Por su parte, las de los garbanzos, el maíz, la avena o la soja tienen una actividad baja.8 Así pues, las personas que no padezcan una intolerancia al gluten pueden agregar un poco de centeno o de trigo para «acelerar» el proceso, mientras que las que sí padezcan dicha intolerancia pueden emplear trigo sarraceno.
En un estudio al respecto realizado en laboratorio emplearon arroz pelado (30 %) y garbanzos (60 %), además de trigo sarraceno para acelarar la actividad de las fitasas. Pasados 200 minutos, el ácido fítico del remojo con trigo sarraceno se había descompuesto por completo, mientras que el que no tenía contenía trigo sarraceno tenía todavía tanto ácido fítico como el otro a los 120 minutos.8
Agregar alimentos cuyas fitasas tienen mayor actividad puede reducir el tiempo de descomposición del ácido fítico.
Sin embargo, el calor sí destruye la enzima fitasa, que es la responsable de descomponer el ácido fítico.9 La industria procesa habitualmente la harina de avena con calor para que no se ponga rancia, pero en el transcurso elimina las fitasas. Por lo tanto, es mejor comprar avena pelada, preparar uno mismo los copos de avena y dejarlos en remojo durante toda la noche (quizá con un poco de trigo sarraceno para estimular la actividad de las fitasas). Al día siguiente, desechar el agua del remojo y continuar preparando la avena.
En el remojo también se disuelven los hidratos de carbono difíciles de digerir, como la rafinosa, que es un polisacárido, o parte de la estaquiosa y de la verbascosa, que pertenecen a la familia de la rafinosa.
El intestino delgado solo es capaz de descomponer y reabsorber la rafinosa hasta cierto punto. La rafinosa se compone de fructosa, glucosa y galactosa. Para el ser humano no suele suponer ningún problema digerir las dos primeras. Sin embargo, para hacer lo mismo con la galactosa nos faltan determinadas enzimas. La consecuencia de ello es que buena parte se queda en el intestino grueso. Los microorganismos presentes en la flora intestinal emplean la galactosa para producir, entre otras cosas, los gases que nos causan flatulencias.
Parte de la rafinosa se disuelve en el agua del remojo, motivo por el cual esta no debe reutilizarse.
Los microorganismos que participan en la fermentación o en la fermentación láctica también contienen la enzima fitasa. Durante la fermentación, esta descompone el ácido fítico. Las condiciones óptimas para la actividad enzimática son un pH de 4,5 y una temperatura de entre 45° y 55°C. Estos valores de pH se alcanzan al elaborar masa madre.9
En condiciones óptimas, la fermentación puede descomponer hasta el 90 % del ácido fítico contenido.9 Esto no solo sucede con los cereales fermentados, sino también con semillas, frutos secos y legumbres. La combinación de diferentes métodos, como el remojo y el posterior fermentado o el germinado y el tostado, puede encontrarse en muchas culturas tradicionales. Se trata de métodos arraigados cuyo fin es mejorar la digestión del alimento y el valor del mismo para el organismo .10 Ejemplo de ello son el kashk (Arabia), el banku (de Ghana), el mawe (de África) o la injera (de Etiopía).
El organismo también es capaz de descomponer el ácido fítico en el tracto gastrointestinal, pero en este caso parece que sí hay una dependencia directa de las fitasas activas que ingerimos: si están presentes en los alimentos (por ejemplo, al fermentar o en el alimento crudo), el organismo es capaz de descomponer entre un 37 y un 66 % del total de los fitatos. Si hemos desactivado las fitasas con calor o durante algún otro paso de la preparación, la descomposición de los fitatos en el tracto gastrointestinal se reduce entre un 0 y un 28 %.11, 13
Dejar en remojo las alubias durante más de 24 horas para después cocerlas a fuego lento puede reducir el 50 % del ácido fítico total. Un estudio realizado en garbanzos y lentejas obtuvo resultados de incluso el 80 %. Sin embargo, las legumbres contienen menos fitasas que la mayoría de los cereales y también hay estudios que establecen una reducción del ácido fítico en el remojo de las legumbres de menos del 10 %. El tiempo del remojo de los distintos tipos de legumbre varía entre 6 y 24 horas.
Todavía no hay datos suficientes sobre el remojo y la germinación de frutos secos que nos permitan especificar con certeza cuánto ácido fítico se descompone.
Muchos pueblos indígenas de América ponían en remojo los frutos secos, después los dejaban secar y los tostaban.
Si se consumen grandes cantidades de frutos secos, como sucede al emplear harina de almendra en lugar de harina tradicional al hornear o con el consumo diario de mantequilla de cacahuete, pueden alcanzarse dosis altas de ácido fítico.
Por otro lado, se sabe que el ácido cítrico mejora notablemente la absorción de minerales, a pesar del ácido fítico. Tomar un vaso de zumo de naranja o de zumo de limón con gas durante una comida rica en frutos secos puede ayudar bastante a mejorar la absorción del hierro.
¿Cuándo resulta beneficioso poner en remojo los frutos secos?
¿Cuándo no es aconsejable poner en remojo los frutos secos?
Una excepción es el coco, aunque en realidad se trate de una drupa y no de un fruto seco. Este no contiene ácido fítico o, si lo hace, se trata de cantidades ínfimas. Desde hace siglos, el coco se ha consumido tradicionalmente crudo, ya que la población de los países productores podía disfrutarlo sin necesidad de «prepararlo».
Un estudio sobre la reducción del ácido fítico en la quinua concluyó que dejarla en remojo antes de cocinarla reduce el porcentaje de ácido fítico en, aproximadamente, un 50 %. Por otro lado, fermentarla antes de cocinarla lo reduce hasta en un 60 %. Por el contrario, con la cocción tan solo se reduce en un 20 %.12
En el caso del arroz integral, que es muy rico en ácido fítico, el efecto del remojo es menor. Lo mismo parece suceder con la avena.
En cuanto al arroz sin procesar (sin calentar) y la avena, el remojo sí parece provocar una mayor reducción. Esto se debe a que ambos alimentos también cuentan con una mayor candidad de la enzima fitasa, que ya de por sí forma parte de estos cereales.12, 13
Fundamentalmente, distinguimos entre semillas germinadas (1), germinados (2), brotes (3) y hierbas o pastos (4). En las semillas germinadas, que suelen llevar germinando unas 24 horas, la semilla ha liberado sus verdaderas fuerzas (por ejemplo, ácido cítrico o ácido málico, entre otras sustancias) y ha roto la testa (cáscara). El germinado mide apenas un milímetro, pero ya podemos considerarlo «un alimento revitalizador» o un «superalimento». Este germinado brota (crece) en un entorno húmedo (y caliente, a veces oscuro) hasta convertirse en un brote (3) y, más tarde, echa hojas (4). Los nutrientes de la semilla son los que permiten que continúe creciendo. Cuando este suministro se agota (si la semilla es muy pequeña), el germinado se muere (de hambre) si no se ponen a su disposición otros nutrientes y los organismos descomponedores (bacterias y hongos) empiezan a atacarlo. Cuanto más grandes sean las semillas, más grandes serán los germinados y los brotes. En el momento en que se planta o se pone a su disposición una solución nutritiva, el brote se desarrolla hasta convertirse en una planta.
El tiempo de remojo dependerá del tipo de legumbre o de grano. A menudo, lo más sencillo es dejarlo en remojo durante toda la noche con el doble de agua. Las semillas pueden llegar a «ahogarse» y con ello aparecen los organismos descomponedores. En caso de duda, reduzca el tiempo de remojo si va a germinar el alimento justo después o alárguelo si piensa consumirlo sin germinarlo.
En la tabla situada un poco más abajo encontrará distintos valores de referencia para la duración del remojo y del germinado. Estos tiempos de remojo se aplican tanto si va a germinarlos después como si va a consumirlos directamente o a cocerlos (en la siguiente columna).
El tiempo de cocción varía y oscila entre los 30 y los 180 minutos (las lentejas rojas y amarillas, apenas 15 minutos). Los cereales y las legumbres solo deben hervirse brevemente y después cocerse a fuego lento. Cuando estén blandos pero al dente, sabremos que están lo suficientemente cocidos.

Los brotes son pequeños dispensadores saludables de nutrientes que podemos tener en casa siguiendo unas sencillas instrucciones. Véase la guía. En el caso de las semillas pequeñas, está claro que lo que la planta necesita para su desarrollo posterior, entre otras cosas, son vitaminas y minerales.
Los brotes son alimentos que se pueden consumir directamente. Se puede decir que es como si estuvieran «predigeridos». De esta manera, los cereales germinados se pueden comer crudos sin problemas. Durante el germinado, las semillas crean numerosos complejos y enzimas que hacen que el brote resulte aún más valioso que la simple semilla.
Por brote entendemos las plantas jóvenes que se desarrollan de la semilla. Incluye tanto las raíces que se desarrollarán más adelante como las partes superiores, aunque en sí son solo parte superior, es decir, el tallo y las hojas pequeñas.
En la tabla que encontrará más adelante, entendemos por duración del germinado el tiempo que necesita la semilla para crecer hasta que se pueda «recolectar» y consumir.
En principio, todas las variedades de cereales son capaces de germinar, incluso semillas como las pipas de girasol o pseudocereales como la quinua o la cañihua. Las legumbres y los frutos secos también germinan.
La calidad del alimento y el método de preparación son cruciales. No todas las semillas que se comercializan pueden germinar. Es recomendable emplear semillas ecológicas, ya que estas no contienen agentes que inhiben la germinación. Además, el alimento debe estar crudo para poder germinar.
Es importante tener en cuenta que el agua solo da el impulso para que se produzca la germinación, pero que posteriormente la planta necesita oxígeno, pues de lo contrario el crecimiento se detiene y el brote se muere. En ese momento, las bacterias y hongos empiezan a digerirlo y el brote se convierte otra vez en alimento para otras plantas, pero no para nosotros. La limpieza es primordial.
Cada planta tolera distintas duraciones de remojo antes de morir. Si el brote puede «respirar», será capaz de seguir creciendo mientras tenga reservas o reciba alimento suficiente a través de las raíces.
Para cultivar brotes no hace falta un gran despliegue. Necesitaremos un germinador, semillas ecológicas y un poco de paciencia. En el caso más simple, bastará con un tarro de rosca con tapa. En la tapa haremos algunos agujeros. Si quiere disfrutar de forma habitual de brotes, le recomendamos que adquiera un germinador simple o uno de varios pisos.
1. Preparar los frascos de cristal
Hay que hervir tanto los frascos como el destornillador, ya que los brotes son muy susceptibles al moho.
2. Enjuagar las semillas
Las semillas que utilicemos también tiene que estar limpias. Para ello, colocarlas en un tamiz o en un colador y lavarlas a conciencia.
3. Dejar las semillas en remojo.
Para que broten, tienen que estar sumergidas durante varias horas. Las semillas pueden comenzar el proceso de germinado con el agua que absorben. El tiempo de remojo oscila entre las 4 y las 12 horas (ver la tabla de abajo).
4. Crecimiento de los brotes
Después del remojo, enjuagar las semillas por primera vez. Desechar el agua del remojo y poner agua fresca. Este proceso habrá que repetirlo más veces. Durante la germinación de las semillas, los frascos deben conservarse en un lugar luminoso, pero en el que no les de directamente la luz del sol. Para que el agua no se quede estancada, colocar el frasco con la abertura hacia abajo y en diagonal. Los brotes hay que lavarlos dos o tres veces al día con agua fresca y dejar que se sequen bien de nuevo.
Tardarán entre uno y tres días en germinar, en función de la semilla. Después comenzarán a crecer los brotes. Las raíces cubiertas de pelusa blanca que empiezan a salir a los dos o tres días no deben confundirse con moho.
5. Recolección
Una vez haya transcurrido el tiempo recomendado para la germinación, lavar los brotes una última vez. Ahora ya los podremos disfrutar crudos, cuando todavía están frescos y crujientes. Puede emplearlos de muchas maneras para enriquecer platos y ensaladas frescos.
La excepción aquí son los brotes de judías mungo, que crudos contienen una toxina que obliga a escaldarlos brevemente antes de consumirlos.
Los brotes de cereal tienen un sabor suave y dulce, mientras que los de rábano, berro o lentejas son más bien picantes. Por su parte, los brotes de alubia y de semillas de girasol recuerdan a los frutos secos.
A tener en cuenta (***)
No comer nunca las legumbres crudas: contienen fasina, una proteína tóxica. La proteína se desnaturaliza tras 20 minutos de cocción y deja de ser tóxica a partir de entonces. Solo podemos comer crudos los guisantes y los tirabeques (bisaltos). Una alternativa para poder comer crudas el resto de legumbres es ponerlas en remojo el tiempo indicado y después germinarlas. Además, los germinados y brotes son especialmente saludables.
Semillas mucilaginosas germinables: albahaca, trigo sarraceno, chía, berros, linaza, rúcula, mostaza.
Necesitan oscuridad: habas, judías azuki, amaranto, anís, coliflor, brócoli, guisantes, garbanzos y remolacha. Normalmente, las semillas más grandes que pueden salir a la luz por sí mismas. Las legumbres son especialmente fáciles de germinar, pues basta con cubrirlas con papel de cocina o una tela de algodón, como se enseña en el colegio.
Perfectos para comer crudos después de germinar:23 amaranto, fenogreco, mijo marrón, espelta, hinojo, berros, linaza, remolacha, rúcula, mostaza, girasol y trigo.
Muy populares: berros, alfalfa, brócoli, rábanos, judías mungo (fáciles).
Semillas: los germinados de semillas oleaginosas como la linaza, la chía o las semillas de girasol se estropean más fácilmente. Las semillas deben estar intactas. Es mejor que solo las deje empezar a germinar.
Alfalfa: fresca, recuerda a la lechuga (especialmente saludable22). Fácil de germinar.
Alholva: picante y amarga si se deja germinar demasiado.
Brotes de guisante (pea shoots): necesitan oscuridad. Al igual que el ayocote (cuidado con las lectinas), conservan las hojas germinativas (germinación hipogea) en el suelo. En la germinación epigea, las hojas germinativas mueren más tarde, aunque llevan a cabo la primera fotosíntesis hasta que se desarrollan las siguientes hojas (información de steamykitchen). Los bisaltos se pueden comer directamente con la tierna vaina.
Alubias riñón: necesitan oscuridad. Son una variedad de alubia (judía) Las alubias riñón crudas (Phaseolus vulgaris) son fáciles de confundir con las judías azuki (Vigna angularis) o el acoyote (Phaseolus coccineus).
Semillas de lino: mucilaginosas. Lavar más a menudo.
Lentejas (pequeñas (4-5 mm), medianas (5-6 mm), grandes (6-7 mm o más): necesitan oscuridad para germinar. ¡Solo pueden germinar si no están podridas ni peladas! Como en Internet también encontrará lentejas amarillas y rojas, las hemos incluido en la lista, aunque ninguna de las dos variedades es capaz de germinar, ya que carecen de piel. Las lentejas amarillas se obtienen al pelar lentejas marrones o verdes. La piel de las lentejas rojas es de color oscuro (aunque depende del lugar de origen), motivo por el que a veces se comercializan como lentejas marrones, violetas o negras. Si desea saber más al respecto, eche un vistazo al artículo sobre el ingrediente lentejas, crudas.
Altramuces: necesitan oscuridad para germinar. Se trata de un caso especial, ya que las variedades tradicionales se dejan en agua salada durante 14 días.
Judías mungo: necesitan oscuridad para germinar (y para tener sabor). Muy fáciles. Durante el remojo requieren mucha más agua, ya que son capaces de absorber hasta siete veces su peso en seco. Además, la temperatura ambiente debe ser de 18-22 grados (o más) y es necesario cambiar el agua tres veces al día durante el germinado. Se pueden consumir crudos tras tres días de germinación (según el artículo de Wikipedia en alemán). El cuarto día, los brotes cambian de color, se vuelven amargos y ya no resultan tan tiernos. Estas judías se digieren mejor que las judías verdes a las que estamos acostumbrados (por ejemplo, no contienen fasina) y tampoco producen gases (no contienen trisacáridos). Perfectas para principiantes. Véase el artículo sobre los brotes de judía mungo, crudos.
Trigo y centeno: dulces, sabrosos solo en fase temprana.
| Tiempo de remojo y de germinación de frutos secos, semillas, legumbres y cereales15,16,17 Las cifras con * proceden de fuentes bibliográficas contrastadas.22 |
| Tiempo de remojo (h) | Tiempo de germinación (días) | Observaciones | |
| Legumbres | |||
| habas maduras | 12-24 | 3 | Necesitan oscuridad |
| judías azuki | (6-8) 12* | 3* | Necesitan oscuridad |
| guisantes | (10-24) 8* | (3-4) 3* | Necesitan oscuridad |
| guisantes brotes verdes* | (8-24) 8* | (bis 14) 1-7* | *** |
| garbanzos | (6-24+) 12* | (3-4) 3* | Necesitan oscuridad, ligero sabor a frutos secos |
| alubias riñón | 12 | 3-4 | *** |
| lentejas | (8-12) 8* | (3-4) 3* | *** (grandes), recuerdan a los frutos |
| altramuces (dulces) | (24-48) 5-12 | 2-3 | *** (pobres en sustancias amargas) |
| judías mungo | (6-12) 8* | (3-4) 3* | *** |
| lentejas (con piel) | 0-2 | 3-4 | *** (¿rojas, amarillas?) |
| alubias negras | 12 | 3-4 | Necesitan oscuridad |
| soja | 12-15 | 3-4 | Necesitan oscuridad |
| tirabeques (bisaltos) | 8 | 1-7 | Se pueden comer crudos |
| Cereales | |||
| mijo marrón | 4-12 | 1-3 | |
| 12 | 3-4 | Suave, sabor a frutos secos, dulce | |
| cebada | 6-12 | 2-3 | |
| (6-8) 5* | (1-2) 1* |
| |
| maíz (maíz dulce) | 12-24 | 3-4 | Necesita oscuridad |
| 6-8 | 2-3 |
| |
| 12 | 3-4 | *** | |
| 12 | 3-4 |
| |
| trigo harinero* | 8* | 1-7* | = hierba de trigo |
| 12 | 2-4 | *** | |
| Semillas y pseudocereales | |||
| alfalfa | 4* | (7-8) 7* | *** |
| amaranto | (6-8) 3* | (3-5) 1* | Necesita oscuridad |
| anís | 10 | Necesita oscuridad | |
| albahaca | ? | ||
| coliflor | ? | Necesita oscuridad | |
| alholva | (8) 6* | (3-4) 3* | *** (fenogreco) |
| brócoli | (6-12) 6* | (3-4) 7* | Necesita oscuridad, sabroso |
| trigo sarraceno* | (8-16) 6-8* | (2-3) 1-2* | |
| nabo daikon | 8 | = rábano blanco | |
| hinojo | 10 | 7-10 | |
| lechuga | ? | ||
| cáñamo | 4-6 | 3-4 | Necesita oscuridad |
| trébol | 6* | 7* | |
| cilantro | 4-12 | 10? | |
| berros (berros hortelanos) | - | 3-6 | Ligeramente picantes |
| linaza | 0-6 | 3-4 | |
| acelgas | 8 | 8-10 | Brotes verdes |
| perilla | 12-24 | = hoja de sésamo | |
| quinua | (0,5-6) 3* | (6-7) 1* | |
| rábanitos, rábano | 6-12 | 2-5 | Ligeramente picantes |
| remolacha | (8-24) 4* | 7* | Necesitan oscuridad |
| rúcula | - | 2-3, 6-7 | 6-7 = hierba |
| mostaza | 6 | (2-5) 2-3 | Ligeramente picantes |
| sésamo | 2-4 | 2-5 | |
| Frutos secos, semillas | |||
| 6 | - | No se venden crudos | |
| 8 | -? |
| |
| (12) 4* | (3-5) 7* |
| |
| 4-12 | -? |
| |
| (4) 8* | -? |
| |
| 8* | - |
| |
| 8* | -? |
| |
| (6-12) 6* | (1-2) 1-2* | Sabor a frutos secos | |
| (6) 8* | -? |
| |
| sandía | 8* | 7* | |
En los alimentos con * (asterisco) en la primera columna, la cifra más alta de la columna «Tiempo de germinación» se aplica como valor indicativo para el germinado en recipientes.
Por desgracia, en Internet encontraremos cifras distintas. Por ejemplo, de la quinua se dice que germina en seis o siete días, algo completamente irreal. No es solo que los germinados se resientan al enjuaguarlos, es que sin tierra no son capaces de continuar desarrollándose debido a la pequeña cantidad de nutrientes disponibles y se echan a perder. Repetimos: respecto al remojo, es importante tener en cuenta que los tiempos prolongados que aparecen indicados entre paréntesis solo son adecuados si el alimento se va a consumir después del remojo, es decir, sin dejar que llegue a germinar, pues de otra manera el germinado se puede «ahogar» y desarrollar microorganismos dañinos durante el proceso.
Si lo que quiere es aprovechar la «explosión» de sustancias que se produce con la germinación (ácido cítrico, ácido málico, etc), es decir, l superalimento, póngalo apenas unos minutos en remojo (si es necesario) y después déjelo germinar durante 24 horas, nunca más (a excepción del arroz). Si desea saber más sobre el tema, eche un vistazo al siguiente artículo de Wikipedia en inglés.
En general, al inicio del germinado aparecen o se multiplican las cantidades de vitamina B1, vitamina B2, vitamina B6 y vitamina K (hasta diez veces), ácido fólico y vitamina C. También lo hacen la cantidad de aminoácidos (proteínas, sobre todo lisina), así como el porcentaje del ácido alfa-linolénico o ALA (ácido graso omega-3). La actividad enzimática se incrementa y también se multiplica la cantidad de fibra. La (deseable) degradación elimina el ácido fítico, las sustancias flatulentas, los taninos, los inhibidores de la proteasa y reduce la cantidad de almidón y el aporte calórico (agua). En las semillas de las solanáceas que contienen alcaloides (berenjenas, patatas, pimientos, tomates, altramuces y soja, información de la página web alemana biothemen) no se pueden comer como mínimo las partes verdes.
Otro tema totalmente diferente es la germinación de residuos o restos de verdura. Los más idóneos para ello son la remolacha, el apio, la cebolla y el ajo. Simplemente colóquelos en un plato con algo de agua. Con una cebolla o un ajo, obtendrá unos brotes de excelente sabor que pueden llegar a medir hasta 15 centímetros de largo. Por supuesto, el jengibre y la cúrcuma se pueden cultivar en maceta. El apio, las zanahorias, la lechuga romana, el colinabo y el puerro, entre otros, también son capaces de germinar. Puede comerse la parte verde o dejarla, ya que en la maceta continuarán desarrollándose hasta convertirse en una planta.
La cantidad de minerales que absorbe al final el organismo, incluso cuando retiramos el ático fítico, es difícil de deducir o de prever y todavía hay pocos estudios relevantes al respecto.
Sin embargo, la combinación de los alimentos parece desempeñar un papel crucial. Por ejemplo, en un estudio se retiraron los fitatos de las papillas de cereales industriales para niños y después se examinó el nivel de absorción del hierro. Si el puré se mezcla con leche, tal y como recomienda el envase, no se mejoraba la absorción. Sin embargo, si se mezclaba con agua, sí que se apreciaba un incremento.9
Algunos estudios sobre el consumo de cereales integrales han probado que, aunque la formación de complejos elimine minerales, esta pérdida se ve compensada por el alto porcentaje que los productos integrales contienen.
Comentarios