Stiftung Gesundheit & Ernährung
S t i f t u n g
Gesundheit & Ernährung
Schweiz
QR Code
Beste Aussichten für Ihre Gesundheit

Vitamin E, Alpha-Tocopherol (TE, E307)

Vitamin E schützt nicht nur die Zellmembranen, sondern hat auch antioxidative Eigenschaften, die unsere Zellen vor Schäden durch freie Radikale bewahren. Wussten Sie, dass die besten Quellen für Vitamin E pflanzlichen Ursprungs sind? Welche spezifischen Quellen dies sind, erfahren Sie im Text.

HIER KLICKEN FÜR: Zutaten mit höchsten Werten

Die Versorgung mit Makro- und Mikronährstoffen ist bei einer ausgewogenen, pflanzenbasierten Ernährung mit wenig bis keinen industriell verarbeiteten Lebensmitteln in der Regel gegeben, mit Ausnahme von Vitamin B12. Doch vor allem sekundäre Pflanzenstoffe sind relevant für die Aufrechterhaltung der Gesundheit und Heilung von Krankheiten, obwohl sie nicht als essenzielle Nährstoffe gelten - ausser Vitamine.

---

Definition

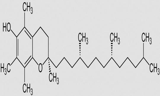
Der Begriff Vitamin E bezeichnet acht natürlich vorkommende fettlösliche Verbindungen, darunter vier Tocopherole und vier Tocotrienole mit den Bezeichnungen α-, β-, γ- und δ-. Die bekannteste Form ist das α-Tocopherol. Vitamin E ist eine Entdeckung von Evans und Bishop (1922). Sie betrachteten es als einen für die Fortpflanzung von Ratten notwendigen Nahrungsbestandteil.6

Vorkommen

Zur Vitamin-E-Synthese sind ausschliesslich Pflanzen befähigt. Die Tocopherol-Gehalte in pflanzlichen Produkten sind somit auch wesentlich höher als in tierischen Lebensmitteln. Die am häufigsten vorkommenden Vitamin-E-Formen heissen Tocopherole und Tocotrienole. Sie unterscheiden sich in der Vitamin-E-Aktivität und lassen sich als α-Tocopherol-Äquivalent (Alpha-TE) in mg pro 100 g Lebensmittel ausdrücken.2

Vitamin E kommt in Nüsse wie Mandeln (26 mg/100 g) und Haselnüssen (15,0) in Gemüse wie Radicchio (2,3), Avocado (2,1), Spinat (2,0), Mangold (1,9), Spargel (1,1) und in Früchten wie Mango (0,9) und Himbeeren (0,8) vor. Weitere Quellen stellen Samen und daraus hergestellte Öle dar, wie Sonnenblumenkerne (35,0) und Sonnenblumenöl (41,0).1

Lager- und Zubereitungsverluste

Vitamin E ist relativ stabil gegen Hitze. Bei einer typischen Ernährung und schonender Zubereitung gehen etwa 10 % des Vitamin E verloren. Beim Braten, Rösten und Schmoren sind die Verluste jedoch deutlich höher.12

Ernährung – Gesundheit

Vitamin E ist Bestandteil der Zellmembranen und schützt als Antioxidans Membranlipide und Lipoproteine vor dem Abbau durch Radikale. Diese Wirkung ist auch bei Fetten und Ölen bekannt, die zum Schutz vor Oxidation mit Vitamin E angereichert sind. Darüber hinaus spielt Vitamin E eine wichtige Rolle bei der Aufrechterhaltung der normalen Funktion von Immunzellen und beim Schutz des zentralen Nervensystems.2,9,10

Nicht nur Veganer oder Vegetarier sollten das Lesen:
Veganer essen oft ungesund. Vermeidbare Ernährungsfehler.

Tagesbedarf auf lange Sicht

Die Schätzwerte für eine durchschnittliche Zufuhr für Vitamin E orientieren sich an der Zufuhr von mehrfach ungesättigten Fettsäuren. Eine Tagesempfehlung liegt bei 12 mg Alpha-TE.2

Mangelerscheinungen bzw. Mangelsymptome

Mangelerscheinungen sind heutzutage in Europa sehr selten, da Leber und Fettgewebe Vitamin E sehr gut speichern können. Bei Frühgeborenen kann jedoch die Gefahr eines Vitamin-E-Mangels bestehen, weil die Plazenta α-Tocopherol nicht in ausreichender Menge an den Fötus weitergibt.8

Nachgewiesene Mangelerscheinungen treten meist nur im Zusammenhang mit Krankheiten auf, bei denen gleichzeitig die Aufnahme von Fetten gestört ist. Eine solche Hypovitaminose zeigt sich durch Konzentrationsstörungen, trockener, faltiger Haut, Müdigkeit, Leistungsschwäche, schlecht heilenden Wunden, Reizbarkeit und Begünstigung von Arteriosklerose.

Ataxie mit Vitamin-E-Mangel ist eine genetisch vererbte Erkrankung, verursacht durch Mutationen im α-Tocopherol-Transferprotein (TTPA)-Gen. Ataxie tritt sehr selten auf.11

Überversorgung

Die Obergrenze der tolerierbaren Aufnahmemenge (UL) liegt bei 1000 mg/Tag, was 1100 IE synthetischem oder 1500 IE natürlichem Vitamin E entspricht. Bei überschüssiger Vitamin E-Versorgung erfolgt die Ausscheidung von Vitamin E vermehrt in einer wasserlöslichen Form über die Nieren. Da Vitamin E eine äusserst geringe Toxizität aufweist, gibt es Empfehlungen bis zu fast 270 mg pro Tag. Beispielsweise führte eine Supplementierung mit diesen Mengen bei Patienten mit Neurodermitis zu einer signifikanten Verbesserung der Symptome.5,7

Funktionen im Körper

Eine der wichtigsten Funktionen von Vitamin E ist die eines Antioxidans, das in der Lage ist, mehrfach ungesättigte Fettsäuren in Membranlipiden, Lipoproteinen und Depotfett vor einer Zerstörung durch Oxidation (Lipidperoxidation) zu schützen. Freie Radikale greifen die Doppelbindungen der Fettsäuren der Zell- und Organellmembranen an und zerstören damit die Zelle selbst im Verlaufe der destruktiven Reaktionen.

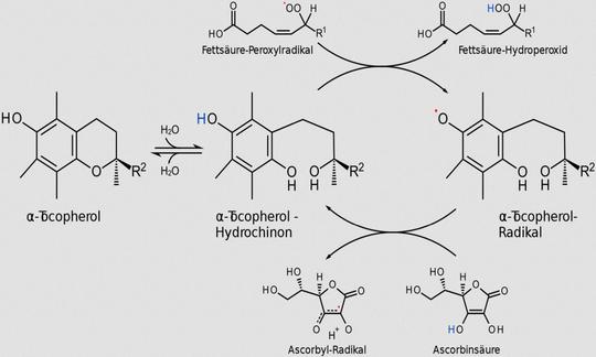
Vitamin E wirkt hier als Radikalfänger. Indem es ein Elektron an das Radikal abgibt, welches das Radikal neutralisiert, wandelt es sich selbst zum Radikal. Vitamin E als Radikal ist allerdings reaktionsträge. Vitamin C reduziert in Folge das Vitamin E Radikal, welches dann in seinen Originalzustand zurückversetzt und wieder als Antioxidans verfügbar ist. Es spielt eine Rolle in der Regulation der Keimdrüsen und gilt deshalb auch als Antisterilitätsvitamin.2,3,4

Das γ-Tocopherol ist in natürlicher Nahrung deutlich höher konzentriert als das α-Tocopherol. Es hat eine besonders starke entzündungshemmende Wirkung. Dazu ist es in der Lage, Nitrogenspezies zu neutralisieren. Diese Nitrogenspezies sind freie Radikale auf Stickstoffbasis und gelten als Hauptverursacher von Atherosklerose und anderen Zell- und Gewebeschädigungen, inklusive Krebserkrankungen.

Wie es scheint, gibt es wenig wissenschaftliche Untersuchungen zu allen 16 Vitamin-E-Untergruppen. Daher ist die Kenntnis der physiologischen Bedeutung dieser Untergruppen nur beschränkt. Das α-Tocopherol ist die bislang am besten untersuchte Substanz in diesem Zusammenhang. Es ist aber zu vermuten, dass für eine physiologisch bedeutsame Wirksamkeit alle 16 Untergruppen notwendig sind.

Eine Supplementierung von nur einer Untergruppe, meist dem α-Tocopherol, führt zu einer Verdrängung von natürlich bestehenden Untergruppen und damit zu unphysiologischen Konzentrationsverhältnissen im Organismus. Um alle 16 Varianten zu erhalten und damit eine optimale Versorgung mit diesem Vitamin zu gewährleisten, ist der Genuss natürlicher Produkte wichtig.

Aufnahme und Stoffwechsel

Die Resorptionsrate von Vitamin E liegt zwischen 25- 60 %. Die Bioverfügbarkeit des lipophilen Vitamins ist abhängig von der zugeführten Dosis, von Art und Menge der vorhandenen Nahrungsfette sowie der Anwesenheit von Gallensäuren und Esterasen aus dem Pankreas.

Resorption von Vitamin E findet zusammen mit Fetten im Darm statt. Von dort gelangt Vitamin E in die Leber. Die Leber gibt VLDL (Very low density lipoprotein) ab, um das Vitamin E über den Blutkreislauf in die Zielzellen zu transportieren.4

Speicherung - Verbrauch - Verluste

Der menschliche Körper kann am besten α-Tocopherol speichern und transportieren. Der Grund dafür ist, dass das in der Leber vorkommende α-Tocopherol-Transfer-Protein (α-TTP), welches für den Transport von Vitamin E über VLDL in den Blutkreislauf verantwortlich ist, die höchste Affinität zum α-Tocopherol hat. Gesamtbestand des Körpers an Vitamin E beträgt etwa 2-5 g. In den Speicherorganen Leber, Muskulatur, Nervengewebe und Fettgewebe kommt das Vitamin E in Mitochondrien, Mikrosomen und Zellkernen in der Zellmembran integriert vor.2,3

Strukturen

Die Grundstruktur aller Vitamin-E-Formen bildet ein hydroxylierter Chromanring, dessen Methylierung diese in eine α-, β-, γ- oder δ-Form unterteilt. Anzahl und Position der Methylgruppen am Chromanring entscheiden über die unterschiedliche Vitamin-E-Aktivität der einzelnen Formen. Tocopherole haben eine gesättigte Seitenkette, Tocomonoenole und marine Tocopherole eine einfach ungesättigte Seitenkette und Tocotrienole eine dreifach ungesättigte Seitenkette.4

Literaturverzeichnis - 12 Quellen

1.

US-Amerikanische Nährwertdatenbank USDA.

2.

Biesalski HK, Grimm P. Taschenatlas der Ernährung. 6. Auflage. Georg Thieme Verlag: Stuttgart und New York. 2015.

3.

Zimmermann M, Schurgast H et al. Burgersteins Handbuch Nährstoffe. 9. Auflage. Karl F. Haug Verlag: Heidelberg. 2000.

4.

Pietrzik K, Golly I et al. Handbuch Vitamine. Für Prophylaxe, Beratung und Therapie. Urban & Fischer Verlag: München. 2008.

5.

Tsoureli-Nikita E, Hercogova J et al. Evaluation of dietary intake of vitamin E in the treatment of atopic dermatitis: a study of the clinical course and evaluation of the immunoglobulin E serum levels. Int J Dermatol. 2002 Mar;41(3):146-150.

6.

Mustacich DJ, Bruno RS et al. Vitamin E. Vitam Horm. 2007;76:1-21.

7.

Traber MG, Manor D. Vitamin E. Adv Nutr. 2012 May 1;3(3):330-331.

8.

Morrissey PA, Hill TR. Vitamins | vitamin E. Encyclopedia of Dairy Sciences. 2nd ed. Academic Press; 2011. p. 652-660.

9.

Pekmezci D. Vitamin E and immunity. Vitam Horm. 2011;86:179-215.

10.

Ulatowski LM, Manor D. Vitamin E and neurodegeneration. Neurobiol Dis. 2015 Dec;84:78-83.

11.

Agarwal A, Garg D et al. Ataxia with vitamin E Deficiency: A Never to be Missed Treatable Ataxia. Ann Indian Acad Neurol. 2023 Nov-Dec;26(6):1011-1012.

12.

Ernaehrungs-umschau.de. Vitamin E.

AutorInnen:

Kommentare