Stiftung Gesundheit & Ernährung
Beste Aussichten für Ihre Gesundheit
Beste Aussichten für Ihre Gesundheit
Beste Aussichten für Ihre Gesundheit
Beste Aussichten für Ihre Gesundheit

Nährstoffe

 
Zeige 21-40 von 45 Einträgen.
Struktur von Alpha-Tocopherol (Vitamin E).
© Public Domain, Jü, Wikipedia
Vitamin E gehört zu den fettlöslichen Vitaminen. Seine wichtigste Funktion besteht in der Wirkung als Antioxidans an den Lipidschichten der Körperzellen.
Allgemeine Struktur der K-Vitamine. Vitamin K1 (Grünpflanzen) und Vitamin K2 unterscheiden sich.
© Public Domain, NEUROtiker, Wikipedia
Vitamin K, ein fettlösliches Vitamin, kommt u.a. in grünem Gemüse und Salat vor. Es spielt eine wichtige Rolle in der Blutgerinnung und im Knochenstoffwechsel.
Struktur von Vitamin C (L-Ascorbinsäure).
© Public Domain, Yikrazuul, Wikipedia
Vitamin C, ein wasserlösliches Vitamin, ist ein wichtiges Antioxidans. Es findet sich in Früchten und Gemüse und erfüllt vielfälltige Aufgaben im Immunsystem.
Struktur von Thiamin (Vitamin B1)
© Public Domain, NEUROtiker, Wikipedia
Thiamin, ein wasserlösliches B-Vitamin, kommt v.a. in der äusseren Schicht von Getreide vor. Es erfüllt viele Aufgaben im Energiestoffwechsel und Nervensystem.
Struktur von Riboflavin (Vitamin B2).
© Public Domain, Yikrazuul, Wikipedia
Riboflavin, ein wasserlösliches B-Vitamin, ist hitzebeständig und lichtempfindlich. Es ist in vielen Enzymen an wichtigen Stoffwechselvorgängen beteiligt.
Struktur von Niacin (Nicotinsäure).
© Public Domain, User:Mysid, Wikipedia
Niacin ist ein wasserlösliches Vitamin, das der Körper auch selbst aus der Aminosäure Tryptophan bilden kann. Es ist wichtig im Energiestoffwechsel.
Molekulares Ball-und-Stockmodell der Pantothensäure.
© Public Domain, Jynto, Wikipedia
Pantothensäure, ein wasserlösliches B-Vitamin, kommt praktisch in jedem Nahrungsmittel vor. Es ist wesentlich an unzähligen Stoffwechselreaktionen beteiligt.
Struktur von Pyridoxin (Vitamin B6).
© Public Domain, NEUROtiker, Wikipedia
Vitamin B6 ist ein wasserlösliches Vitamin, das bei etwa 100 enzymatischen Reaktionen beteiligt ist. Im Eiweissstoffwechsel nimmt es wichtige Rollen ein.
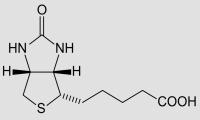
Struktur von Biotin. Biotin weist 8 Stereoisomere auf, doch nicht alle sind biologisch aktiv.
© Public Domain, User:Mysid, Wikipedia
Biotin ist ein wasserlösliches Vitamin aus dem B-Komplex und in der Natur weit verbreitet. Im Dickdarm erzeugtes Biotin steht dem Körper teilw. zur Verfügung.
Struktur der Folsäure: es gibt zwei mögliche Tautomere: Lactam- und Lactim-Form
© Public Domain, NEUROtiker, Wikipedia
Das wasserlösliche Vitamin Folsäure ist wichtig für die Zellerneuerung. Natürlich kommt Folsäure nur als Vorstufe Folat vor, vor allem in Hülsenfrüchten.
Struktur von Vitamin B12 (Cobalamin) mit Cobalt als Zentralatom.
© CC-by 3.0, Dissolution, Wikipedia
Vitamin B12 (Cobalamin) ist ein wasserlösliches B-Vitamin, das ausschliesslich Mikroorganismen herstellen. B12 kommt in pflanzlicher Nahrung praktisch nicht vor
Kristalle von reinstem 99,99% Calcium
© CC-by 3.0, Alexander C. Wimmer, Wikipedia
Calcium (Ca) ist ein essenzielles Mengenelement und verleiht Knochen und Zähnen Stabilität und Festigkeit. Reich an Calcium sind grüne Gemüse und Nüsse.
Kalium unter Tetrahydrofuran und Schutzgas.
© Public Domain, Schmid & Rauch, Wikipedia
Kalium, ein essenzielles Mengenelement, kommt in den meisten Lebensmitteln vor und ist wichtig für die Regulation des Membranpotentials der Körperzellen.
12 viel Magnesium (Mg) enthaltende Naturprodukte verteilt auf Tisch.
© Bought from airborne77, fotolia
Magnesium (Mg) ist ein essenzielles Mengenelement und beteiligt an über 300 enzymatischen Stoffwechselreaktionen. Magnesiumreich sind Samen und Nüsse.
Roter (links) und violetter (rechts) Phosphor.
© Public Domain, Materialscientist (Phosphor_rot.jpg: Tomihahndorf Phosphor-rot-violett.jpg: Maksim), wikipedia
Phosphor ist ein essenzielles Mengenelement und wichtiger Bestandteil von Knochen, Zähnen und den Zellmembranen. Es spielt eine Rolle in der Energieproduktion.
Natrium als Metall, Aufnahme aus der "Dennis s.k collection".
© CC-by 3.0, Dnn87, Wikipedia
Natrium (Na), ein essenzielles Mengenelement, liegt in unserer Nahrung meist als Kochsalz vor (NaCl). Natrium beeinflusst den Blutdruck und Wasserhaushalt.
Stellung des Selen im Periodensystem.
© Public Domain, Alchemist-hp, Wikipedia
Das Halbmetall Selen (Se, Selenium) kann wie Iod (Jod) in einigen Gegenden zu wenig vorkommen. Es spielt im Körper aber eine wichtige Rolle und ist essenziell.
Tiefgrüner Fluorit-Kristall von Namibia.
© CC-by 3.0, CarlesMillan, Wikipedia
Es ist nicht klar, ob Fluor zu den essenziellen Spurenelementen zählt. Doch im Körper ist es für die Stabilität von Zähnen und Knochen mitverantwortlich.
Reine (99,97 %+) Eisen-Chips, elektrolytisch raffiniert. Grössenvergleich ein hochreiner Würfel.
© CC-by 3.0, Alchemist-hp, Wikipedia
Das Spurenelement Eisen ist für den Sauerstofftransport im Blut, bei der Sauerstoffspeicherung in den Zellen und beim Energiestoffwechsel nötig.
Mangan-Chips, elektrolytisch raffiniert, an der Luft oxidiert, sowie ein reiner Mangan-Würfel.
© CC-by 3.0, Alchemist-hp, Wikipedia
Mangan ist ein Spurenelement, das vor allem in pflanzlichen, nicht raffinierten Lebensmitteln vorkommt. Es spielt u.a. eine Rolle beim Aufbau von Knorpelgewebe.